We are thrilled to announce Plaquette v2025.2, enabling scalable simulation of near-Clifford quantum error-correcting (QEC) circuits. This release enables exact and unbiased logical error-rate estimates for circuits that include small non-Clifford contributions without resorting to prohibitively expensive full state-vector methods.
At the heart of Plaquette v2025.2 is a two-step approach that combines Clifford decompositions of near-Clifford noisy channels, and quasiprobability sampling to track and measure their effect on logical observables. This allows accurate benchmarking for hundreds of qubits—even under noise models that could otherwise be intractable—while retaining the speed benefits of stabilizer-based simulation.
With these new capabilities, hardware teams can rapidly study a wide range of noise processes affecting their systems, from near-Clifford errors, like coherent noise due to over-rotations or small-angle phase gates, as well as analyse non-Clifford QEC operations like T-state injection. Plaquette’s latest release thereby closes the gap between purely stabilizer-based methods and full state-vector simulations, providing an efficient, exact framework for designing and testing next-generation fault-tolerant quantum devices.
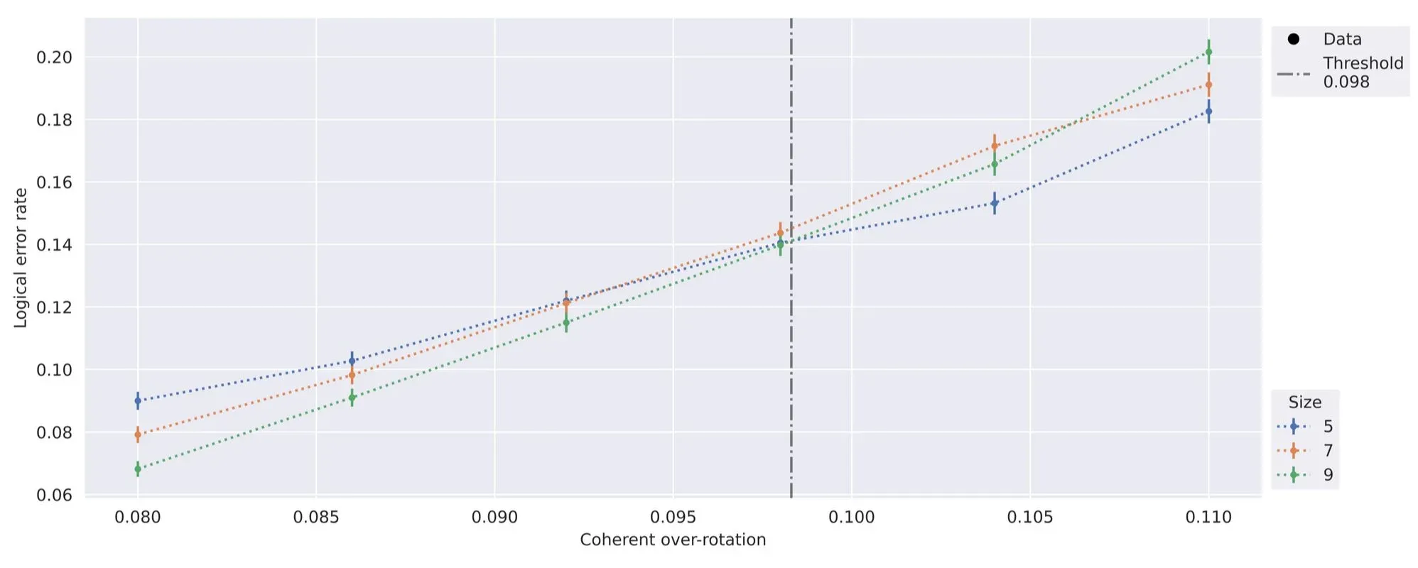
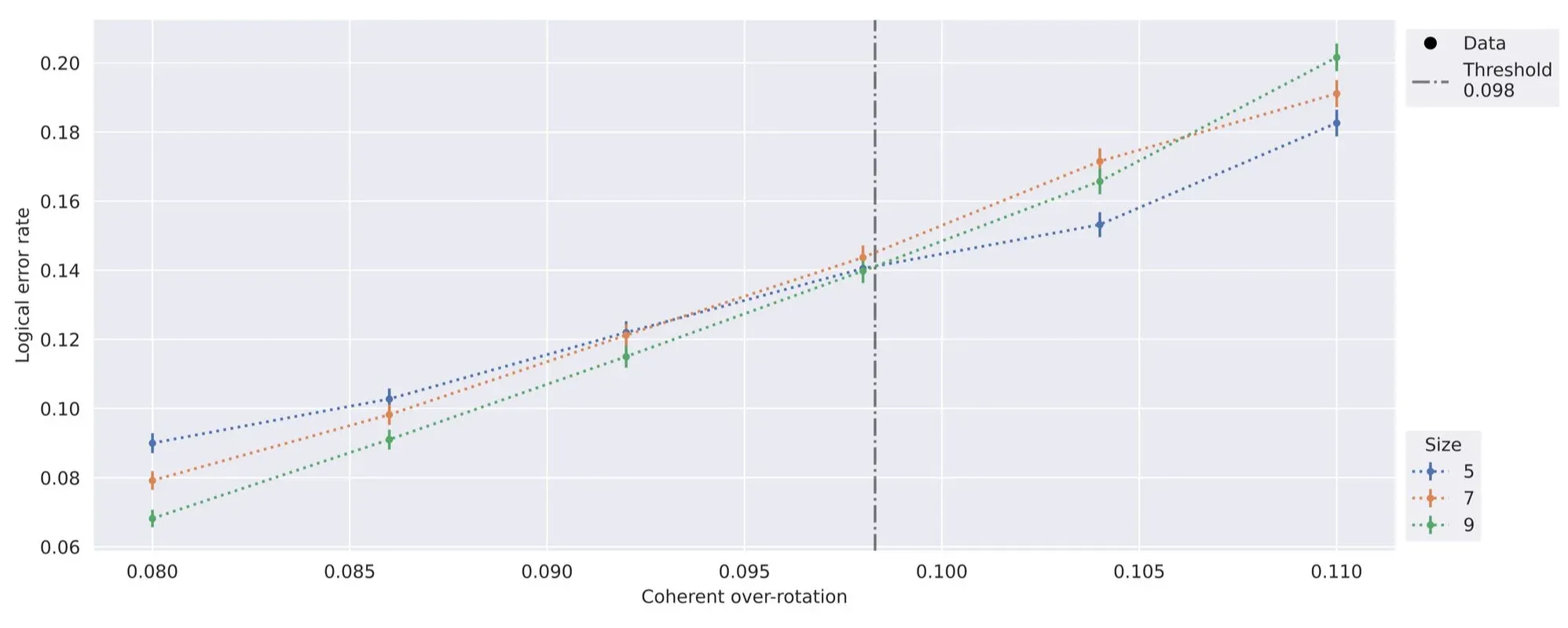
As an example of the functionality offered by Plaquette 2025.2, we show below the error threshold for the planar code in the presence of coherent error noise affecting both data and ancilla qubits. Thanks to the features in this release it is possible to perform analyses like these, requiring 10,000 simulations per datapoint and involving around 300 qubits, in just one or two minutes, enabling rapid study of different error models and system architectures.
